C语言实现计算三角形的面积的示例
作者:回忆式~过去.
文章介绍了如何使用C语言计算三角形的面积,通过键盘输入三角形的三条边长,并使用海伦公式计算面积,示例数据a=2,b=3,c=2时,计算结果为1.984313
C语言计算三角形的面积
从键盘输入3个整数作为一个三角形的3条边长,并保存到3个变量a、b、c中,计算并输出该三角形的面积。
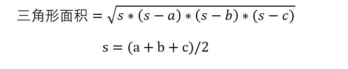
三角形面积的计算公式为:

测试数据与运行结果
当a=2,b=3,c=2时,运行结果为1.984313。
// 不按规范要求实现
#include <stdio.h>
#include <math.h>
int main()
{
float a,b,c,area,s;
scanf("%f%f%f",&a,&b,&c);
s = (a+b+c)/2;
printf("%f\n",s);
area = sqrt(s*(s-a)*(s-b)*(s-c));
printf("%f",area);
}
// 按照规范实现
#include "stdio.h"
#include "math.h"
int main()
{
int a,b,c;
double s,t;
scanf("%d %d %d",&a,&b,&c);
s=(a+b+c)/2.0;
t=sqrt(s*(s-a)*(s-b)*(s-c));
printf("%lf\n",t);
}
总结
以上为个人经验,希望能给大家一个参考,也希望大家多多支持脚本之家。
