C++二叉搜索树图片及代码详解
作者:祁同伟.
一. 概念
又称二叉排序树、二叉查找树
性质、判定:
1. 若它的左子树不为空,则左子树上所有节点的值都小于根节点的值
2. 若它的右子树不为空,则右子树上所有节点的值都大于根节点的值
3. 它的左右子树都是二叉搜索树
二. 实现
BinarySearchTree.h
template<class K>
struct BSTreeNode
{
BSTreeNode<K>* _left;
BSTreeNode<K>* _right;
K _key;
BSTreeNode(const K& key)
:_left(nullptr)
, _right(nullptr)
, _key(key)
{ }
};
template<class K>
class BSTree
{
typedef BSTreeNode<K> Node;
public:
BSTree()
:_root(nullptr)
{ }
bool Insert(const K& key) {}
bool Find(const K& key) {}
bool Erase(const K& key) {}
void InOrder() {}
private:
void _InOrder(Node* root) {}
private:
Node* _root;
};
void TestBSTree1()
{
int a[] = { 8, 3, 1, 10, 6, 4, 7, 14, 13 };
BSTree<int> t;
for (auto e : a)
{
t.Insert(e);
}
t.InOrder();
t.Erase(4);
t.InOrder();
t.Erase(6);
t.InOrder();
t.Erase(7);
t.InOrder();
t.Erase(3);
t.InOrder();
for (auto e : a)
{
t.Erase(e);
}
t.InOrder();
}1. 查找
从根开始比较,查找,比根大则往右边走查找,比根小则往左边走查找
最多找高度次:O(N)

红黑树、AVL树:O(logN)
bool Find(const K& key)
{
Node* cur = _root;
while (cur)
{
if (cur->_key < key)
{
cur = cur->_right;
}
else if (cur->_key > key)
{
cur = cur->_left;
}
else
{
return true;
}
}
return false;
}2. 插入
树为空,则直接新增节点,赋值给 root 指针
树不空,按二叉搜索树性质查找插入位置,插入新节点

bool Insert(const K& key)
{
if (_root == nullptr)
{
_root = new Node(key);
return true;
}
Node* parent = nullptr;
Node* cur = _root;
while (cur)
{
if (cur->_key < key)
{
parent = cur;
cur = cur->_right;
}
else if (cur->_key > key)
{
parent = cur;
cur = cur->_left;
}
else
{
return false;
}
}
cur = new Node(key);
if (parent->_key < key)
{
parent->_right = cur;
}
else
{
parent->_left = cur;
}
return true;
}3. 中序遍历
中序遍历(左子树、根、右子树)二叉搜索树的结果是排序的结果
void InOrder(Node* root)
{
if (root == nullptr)
{
return;
}
InOrder(root->_left);
cout << root->_key << " ";
InOrder(root->_right);
}有问题,我们在外面用对象调用中序遍历要传私有成员变量 _root,但是私有我们不能在类外面用
BSTree<int> t; t.InOrder();
可以这样解决:
void InOrder()
{
_InOrder(_root);
cout << endl;
}
void _InOrder(Node* root)
{
if (root == nullptr)
{
return;
}
_InOrder(root->_left);
cout << root->_key << " ";
_InOrder(root->_right);
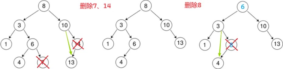
}4. 删除
要删的节点有3种情况:
1. 没有孩子:托孤
2. 有1个孩子:托孤
3. 有2个孩子:和左子树的最大节点(左子树的最右节点) 或 右子树的最小节点(右子树的最左节点) 替换

bool Erase(const K& key)
{
Node* parent = nullptr;
Node* cur = _root;
while (cur)
{
if (cur->_key < key)
{
parent = cur;
cur = cur->_right;
}
else if (cur->_key > key)
{
parent = cur;
cur = cur->_left;
}
else // 树中找到了要删除的节点cur
{
// ......
delete cur;
return true;
}
}
return false;
}cur 左为空(也解决了没有孩子,左右都为空):

else // 树中找到了要删除的节点cur
{
// cur左为空
if (cur->_left == nullptr)
{
if (parent->_right == cur)
{
parent->_right = cur->_right;
}
else
{
parent->_left = cur->_right;
}
}
// ......
delete cur;
return true;
}但有这种特殊情况:

else // 树中找到了要删除的节点cur
{
// cur左为空
if (cur->_left == nullptr)
{
if (cur == _root)
{
_root = cur->_right;
}
else
{
if (parent->_right == cur)
{
parent->_right = cur->_right;
}
else
{
parent->_left = cur->_right;
}
}
}
// ......
delete cur;
return true;
}cur 右为空:同理

else // 树中找到了要删除的节点cur
{
// cur左为空
if (cur->_left == nullptr) { }
// cur右为空
else if (cur->_right == nullptr)
{
if (cur == _root)
{
_root = cur->_left;
}
else
{
if (parent->_right == cur)
{
parent->_right = cur->_left;
}
else // parent->_left == cur
{
parent->_left = cur->_left;
}
}
}
// ......
delete cur;
return true;
}cur 左右都不为空:替换 以左子树的最大节点(左子树的最右节点)为例

注意:leftMax 是左子树的最右节点,leftMax 这个节点一定不会有右子树,可能有左子树
注意:
这里是左右都不为空的情况,而且我们要去左子树找最右节点,所以 leftMax 可直接定义为 cur->_left;parent 可直接定义为 cur
如果 leftMax 定义为 cur,parent 定义为 nullptr,例3会坑

注意:替换后要通过找到父亲直接删(一定可以直接删,因为 leftMax 右一定为空)。不能递归删(7 < 8,在右子树找,找不到,删不了)。因为搜索树的结构变了,而且无法传根,无法控制;进而导致不满足二叉搜索树的性质

else // 树中找到了要删除的节点cur
{
// cur左为空
if (cur->_left == nullptr) { }
// cur右为空
else if (cur->_right == nullptr) { }
// cur左右都不为空
else
{
// 找替代节点
Node* parent = cur;
Node* leftMax = cur->_left;
while (leftMax->_right)
{
parent = leftMax;
leftMax = leftMax->_right;
}
swap(cur->_key, leftMax->_key);
if (parent->_left == leftMax)
{
parent->_left = leftMax->_left;
}
else // parent->_right == leftMax
{
parent->_right = leftMax->_left;
}
cur = leftMax;
}
delete cur;
return true;
}三. 递归版实现
C++里,凡是树形结构递归,都要单独写子函数。因为递归是子问题,要控制子树
BinarySearchTree.h
template<class K>
struct BSTreeNode
{
BSTreeNode<K>* _left;
BSTreeNode<K>* _right;
K _key;
BSTreeNode(const K& key)
:_left(nullptr)
, _right(nullptr)
, _key(key)
{ }
};
template<class K>
class BSTree
{
typedef BSTreeNode<K> Node;
public:
BSTree()
:_root(nullptr)
{ }
void InOrder()
{
_InOrder(_root);
cout << endl;
}
bool FindR(const K& key)
{
return _FindR(_root, key);
}
bool InsertR(const K& key)
{
return _InsertR(_root, key);
}
bool EraseR(const K& key)
{
return _EraseR(_root, key);
}
private:
bool _FindR(Node* root, const K& key) {}
bool _InsertR(Node*& root, const K& key) {}
bool _EraseR(Node*& root, const K& key) {}
void _InOrder(Node* root) {}
private:
Node* _root;
};1. 查找
比根大,在右子树找;比根小,在左子树找;到空还没找到,则不存在
bool FindR(const K& key)
{
return _FindR(_root, key);
}
bool _FindR(Node* root, const K& key)
{
if (root == nullptr)
return false;
if (root->_key < key)
{
return _FindR(root->_right, key);
}
else if (root->_key > key)
{
return _FindR(root->_left, key);
}
else
{
return true;
}
}2. 插入
插入的值 < 根:往左子树去插入
插入的值 > 根:往右子树去插入
插入的值 == 根:插入失败
走到空的地方就可以插入
怎么插入?new Node(key),但还要找父亲,怎么解决?加引用成为 Node*& root
这里指针的作用:链接树
这里引用的作用:下一层改变影响上一层
bool InsertR(const K& key)
{
return _InsertR(_root, key);
}
bool _InsertR(Node*& root, const K& key)
{
if (root == nullptr)
{
root = new Node(key);
return true;
}
if (root->_key < key)
{
return _InsertR(root->_right, key);
}
else if (root->_key > key)
{
return _InsertR(root->_left, key);
}
else
{
return false;
}
}如果是空树,root 是 _root 的别名,new 的第一个节点刚好给 _root
如果不是空树,层层往下递归,前面的引用不起作用,每一层(每一个栈帧)都有一个引用

6 是对象,把左指针这个成员传给下一层,下一层的 root 是 6 的左指针的别名(引用此时不发挥作用)
5 > 4,把 4 的右指针往下传,root 是 4 的右指针的别名
4 的右指针为空 ==> 插入
new节点,给 root,对 root 修改,就是对 4 的右指针修改
这一句赋值,直接就链接上了,不用找父亲,不用比较大小

3. 删除
先找有没有要删的节点,找到了就删,同样分3种情况:左为空、右为空、左右都为空
bool EraseR(const K& key)
{
return _EraseR(_root, key);
}
bool _EraseR(Node*& root, const K& key)
{
if (root == nullptr) // 树里没有
return false;
if (root->_key < key)
{
return _EraseR(root->_right, key);
}
else if (root->_key > key)
{
return _EraseR(root->_left, key);
}
else // 找到了,准备删
{
Node* del = root;
if (root->_left == nullptr) // 1.左为空
{
root = root->_right;
}
else if (root->_right == nullptr) // 2.右为空
{
root = root->_left;
}
else // 3. 左右都不为空
{ }
delete del;
return true;
}
}
3 < 6,3 的右指针往下传,root 是 3 的右指针的别名
此时 root 是 6,找到了,开始删:root 左为空,把 root(3的右指针)赋值为 root 的右指针
root 的右指针指向 7 ==> 3 的右指针指向 7,完成了链接关系

root 是 _root 的别名,上来就找到了,开始删:
root 不为空,root = root->_right 就是 _root = _root->_right;
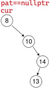
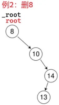
左右都为空:找替代节点(以找左树的最右节点为例,最右节点的右一定为空)
以刚开始就找到要删的 8 为例:
转化为删红圈的节点。非递归实现一定可以找父亲,直接删;不能递归删

我们现在有了引用,root 是 _root 的别名
但在 root 当前位置发挥不了作用,因为不需要改 _root,所以不能直接在最大的树删除
可以转化为在蓝圈的树中删,递归往下走,一定是右为空的情况。那时,root 是 6 的右指针的别名
走这个情形:

else // 3. 左右都不为空
{
Node* leftMax = root->_left;
while (leftMax->_right)
{
leftMax = leftMax->_right;
}
swap(root->_key, leftMax->_key);
return _EraseR(root->_left, key);
}这种方法在替换后,会在左子树再找一遍要删除的节点,但代价不大
第11行递归进去之后,不会再次走这个左右都不为空的 else
4. 析构、拷贝、赋值
析构:析构也得写子函数,因为要递归,析构函数都没有参数
二叉树:用后序遍历删除,循环不好用
拷贝:不能调 Insert,会改变树的形状
走前序遍例赋值
默认的拷贝构造是浅拷贝,会出错,要自己实现深拷贝
赋值:现代写法
BSTree(const BSTree<K>& t)
{
_root = Copy(t._root);
}
BSTree<K>& operator=(BSTree<K> t)
{
swap(_root, t._root);
return *this;
}
~BSTree()
{
Destroy(_root);
}
void Destroy(Node*& root)
{
if (root == nullptr)
return;
Destroy(root->_left);
Destroy(root->_right);
delete root;
root = nullptr; // 这就是传引用的原因
}
Node* Copy(Node* root)
{
if (root == nullptr)
return nullptr;
Node* copyroot = new Node(root->_key);
copyroot->_left = Copy(root->_left);
copyroot->_right = Copy(root->_right);
return copyroot;
}非递归+递归整体代码
template<class K>
struct BSTreeNode
{
BSTreeNode<K>* _left;
BSTreeNode<K>* _right;
K _key;
BSTreeNode(const K& key)
:_left(nullptr)
, _right(nullptr)
, _key(key)
{ }
};
template<class K>
class BSTree
{
typedef BSTreeNode<K> Node;
public:
BSTree()
:_root(nullptr)
{ }
BSTree(const BSTree<K>& t)
{
_root = Copy(t._root);
}
BSTree<K>& operator=( BSTree<K> t)
{
swap(_root, t._root);
return *this;
}
~BSTree()
{
Destroy(_root);
}
bool Insert(const K& key)
{
if (_root == nullptr)
{
_root = new Node(key);
return true;
}
Node* parent = nullptr;
Node* cur = _root;
while (cur)
{
if (cur->_key < key)
{
parent = cur;
cur = cur->_right;
}
else if (cur->_key > key)
{
parent = cur;
cur = cur->_left;
}
else
{
return false;
}
}
cur = new Node(key);
if (parent->_key < key)
{
parent->_right = cur;
}
else
{
parent->_left = cur;
}
return true;
}
bool Find(const K& key)
{
Node* cur = _root;
while (cur)
{
if (cur->_key < key)
{
cur = cur->_right;
}
else if (cur->_key > key)
{
cur = cur->_left;
}
else
{
return true;
}
}
return false;
}
bool Erase(const K& key)
{
Node* parent = nullptr;
Node* cur = _root;
while (cur)
{
if (cur->_key < key)
{
parent = cur;
cur = cur->_right;
}
else if (cur->_key > key)
{
parent = cur;
cur = cur->_left;
}
else // 树中找到了要删除的节点cur
{
// cur左为空
if (cur->_left == nullptr)
{
if (cur == _root)
{
_root = cur->_right;
}
else
{
if (parent->_right == cur)
{
parent->_right = cur->_right;
}
else // parent->_left == cur
{
parent->_left = cur->_right;
}
}
}
// cur右为空
else if (cur->_right == nullptr)
{
if (cur == _root)
{
_root = cur->_left;
}
else
{
if (parent->_right == cur)
{
parent->_right = cur->_left;
}
else // parent->_left == cur
{
parent->_left = cur->_left;
}
}
}
// cur左右都不为空
else
{
// 找替代节点
Node* parent = cur;
Node* leftMax = cur->_left;
while (leftMax->_right)
{
parent = leftMax;
leftMax = leftMax->_right;
}
swap(cur->_key, leftMax->_key);
if (parent->_left == leftMax)
{
parent->_left = leftMax->_left;
}
else // parent->_right == leftMax
{
parent->_right = leftMax->_left;
}
cur = leftMax;
}
delete cur;
return true;
}
}
return false;
}
void InOrder()
{
_InOrder(_root);
cout << endl;
}
bool FindR(const K& key)
{
return _FindR(_root, key);
}
bool InsertR(const K& key)
{
return _InsertR(_root, key);
}
bool EraseR(const K& key)
{
return _EraseR(_root, key);
}
private:
void Destroy(Node*& root)
{
if (root == nullptr)
return;
Destroy(root->_left);
Destroy(root->_right);
delete root;
root = nullptr; // 这就是传引用的原因
}
Node* Copy(Node* root)
{
if (root == nullptr)
return nullptr;
Node* copyroot = new Node(root->_key);
copyroot->_left = Copy(root->_left);
copyroot->_right = Copy(root->_right);
return copyroot;
}
bool _FindR(Node* root, const K& key)
{
if (root == nullptr)
return false;
if (root->_key < key)
{
return _FindR(root->_right, key);
}
else if (root->_key > key)
{
return _FindR(root->_left, key);
}
else
{
return true;
}
}
bool _InsertR(Node*& root, const K& key)
{
if (root == nullptr)
{
root = new Node(key);
return true;
}
if (root->_key < key)
{
return _InsertR(root->_right, key);
}
else if (root->_key > key)
{
return _InsertR(root->_left, key);
}
else
{
return false;
}
}
bool _EraseR(Node*& root, const K& key)
{
if (root == nullptr) // 树里没有
return false;
if (root->_key < key)
{
return _EraseR(root->_right, key);
}
else if (root->_key > key)
{
return _EraseR(root->_left, key);
}
else // 找到了,准备删
{
Node* del = root;
if (root->_left == nullptr) // 1.左为空
{
root = root->_right;
}
else if (root->_right == nullptr) // 2.右为空
{
root = root->_left;
}
else // 3. 左右都不为空
{
Node* leftMax = root->_left;
while (leftMax->_right)
{
leftMax = leftMax->_right;
}
swap(root->_key, leftMax->_key);
return _EraseR(root->_left, key);
}
delete del;
return true;
}
}
void _InOrder(Node* root)
{
if (root == nullptr)
{
return;
}
_InOrder(root->_left);
cout << root->_key << " ";
_InOrder(root->_right);
}
private:
Node* _root;
};
void TestBSTree1()
{
int a[] = { 8, 3, 1, 10, 6, 4, 7, 14, 13 };
BSTree<int> t;
for (auto e : a)
{
t.InsertR(e);
}
t.InOrder();
t.EraseR(4);
t.InOrder();
t.EraseR(6);
t.InOrder();
t.EraseR(7);
t.InOrder();
t.EraseR(3);
t.InOrder();
for (auto e : a)
{
t.EraseR(e);
}
t.InOrder();
}
void TestBSTree2()
{
int a[] = { 8, 3, 1, 10, 6, 4, 7, 14, 13 };
BSTree<int> t;
for (auto e : a)
{
t.InsertR(e);
}
BSTree<int> t1(t);
t.InOrder();
t1.InOrder();
}四. 应用模型
1. key 的搜索模型
快速判断在不在的场景
门禁系统、小区车辆出入系统 ……
2. key_value 的搜索模型
通过一个值找另一个值
商场的车辆出入系统、高铁实名制车票系统 ……
namespace key_value
{
template<class K, class V>
struct BSTreeNode
{
BSTreeNode<K, V>* _left;
BSTreeNode<K, V>* _right;
K _key;
V _value;
BSTreeNode(const K& key, const V& value)
:_left(nullptr)
, _right(nullptr)
, _key(key)
, _value(value)
{ }
};
template<class K, class V>
class BSTree
{
typedef BSTreeNode<K, V> Node;
public:
BSTree()
:_root(nullptr)
{ }
void InOrder()
{
_InOrder(_root);
cout << endl;
}
Node* FindR(const K& key)
{
return _FindR(_root, key);
}
bool InsertR(const K& key, const V& value)
{
return _InsertR(_root, key, value);
}
bool EraseR(const K& key)
{
return _EraseR(_root, key);
}
private:
Node* _FindR(Node* root, const K& key)
{
if (root == nullptr)
return nullptr;
if (root->_key < key)
{
return _FindR(root->_right, key);
}
else if (root->_key > key)
{
return _FindR(root->_left, key);
}
else
{
return root;
}
}
bool _InsertR(Node*& root, const K& key, const V& value)
{
if (root == nullptr)
{
root = new Node(key, value);
return true;
}
if (root->_key < key)
{
return _InsertR(root->_right, key, value);
}
else if (root->_key > key)
{
return _InsertR(root->_left, key, value);
}
else
{
return false;
}
}
bool _EraseR(Node*& root, const K& key)
{
if (root == nullptr) // 树里没有
return false;
if (root->_key < key)
{
return _EraseR(root->_right, key);
}
else if (root->_key > key)
{
return _EraseR(root->_left, key);
}
else // 找到了,准备删
{
Node* del = root;
if (root->_left == nullptr) // 1.左为空
{
root = root->_right;
}
else if (root->_right == nullptr) // 2.右为空
{
root = root->_left;
}
else // 3. 左右都不为空
{
Node* leftMax = root->_left;
while (leftMax->_right)
{
leftMax = leftMax->_right;
}
swap(root->_key, leftMax->_key);
return _EraseR(root->_left, key);
}
delete del;
return true;
}
}
void _InOrder(Node* root)
{
if (root == nullptr)
{
return;
}
_InOrder(root->_left);
cout << root->_key << ":" << root->_value << endl;
_InOrder(root->_right);
}
private:
Node* _root;
};
}拼写检查:读取词库放到一颗搜索树;读取单词,看在不在树中,不在则拼写错误
void TestBSTree1()
{
BSTree<string, string> dict;
dict.InsertR("hello", "你好");
dict.InsertR("tree", "树");
dict.InsertR("apple", "苹果");
dict.InsertR("day", "天");
string str;
while (cin >> str)
{
BSTreeNode<string, string>* ret = dict.FindR(str);
if (ret != nullptr)
{
cout << ret->_value << endl;
}
else
{
cout << "没有此单词" << endl;
}
}
}
统计出现次数
void TestBSTree2()
{
string arr[] = { "苹果", "西瓜", "苹果", "西瓜", "苹果",
"苹果", "西瓜", "苹果", "香蕉", "苹果", "香蕉" };
BSTree<string, int> countTree;
for (auto& str : arr)
{
BSTreeNode<string, int>* ret = countTree.FindR(str);
if (ret == nullptr)
{
countTree.InsertR(str, 1);
}
else
{
ret->_value++;
}
}
countTree.InOrder();
}
总结
到此这篇关于C++二叉搜索树详解的文章就介绍到这了,更多相关C++二叉搜索树内容请搜索脚本之家以前的文章或继续浏览下面的相关文章希望大家以后多多支持脚本之家!
